Wyniki 72. Aukcji-Kwalifikacji Ogierów Zimnokrwistych w TRW Miłosna w Kwidzynie 7-8.10.2025 r.
Napisane przez administrator dnia . Wysłane Uncategorised.
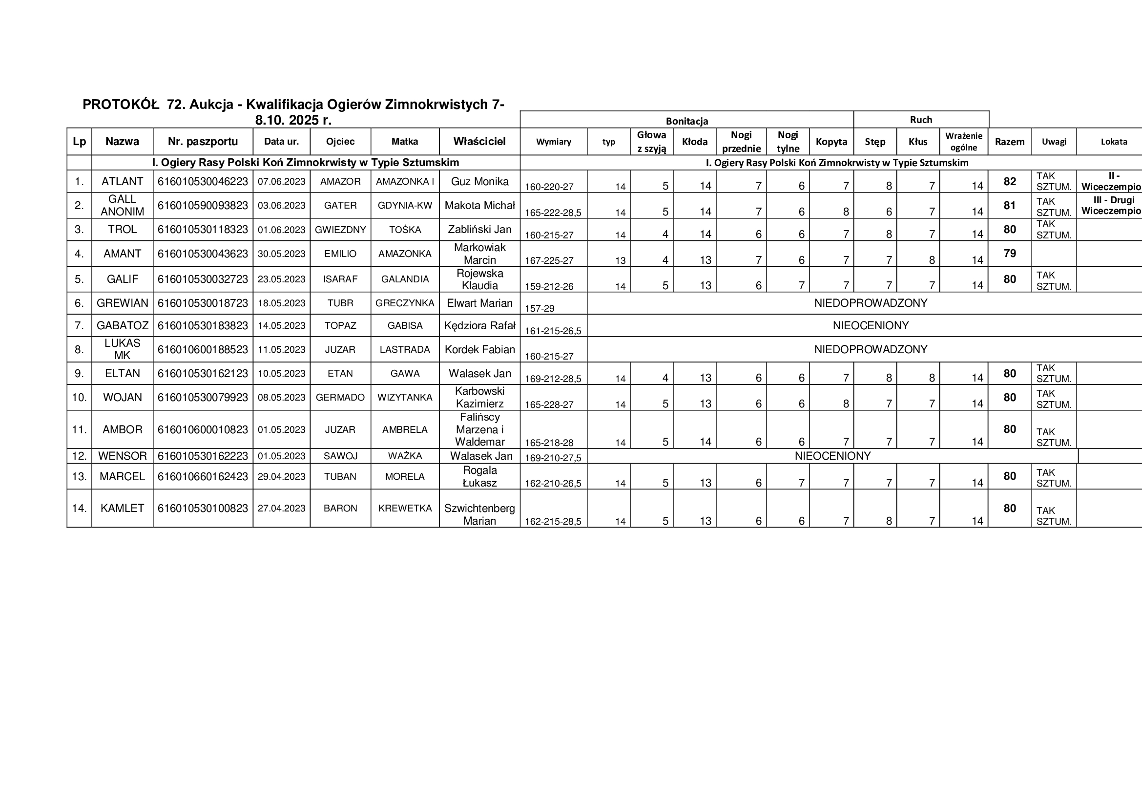
Szanowni Państwo, za nami 72. Aukcja-Kwalifikacja Ogierów Zimnokrwistych, która odbyła się w TRW Miłosna w Kwidzynie 7-8.10.2025 r.
Wyniki:
Ogiery Rasy Polski Koń Zimnokrwisty w typie sztumskim:

Czempion nr. kat. 20 FIRST-GK hodowca Kural Grzegorz, 84 pkt, wymiary 166-218-28

Wiceczempion nr. kat. 1 ATLANT hodowca Guz Monika 82 pkt, wymiary 160-220-27

Drugi Wiceczempion nr. kat. 2. GALL ANONIM hodowca Makota Michał 81. Pkt, wymiary 165-222-28,5

IV miejsce nr. kat. 35. MANNOLO 81 pkt, wymiary 159-210-28
Ogiery Rasy Polski Koń Zimnokrwisty:

Czempion nr. kat. 52 ORIUS R.S. hodowca Roman Szultka 84 pkt, wymiary 164-214-28

Wiceczempion nr. kat. 42 GERVIN hodowca Rojewski Rafał 81 pkt, wymiary 168-225-27

Drugi Wiceczempion nr. kat. 49 ANER 81 pkt. Wymiary 163-220-28,5 hodowca Mariusz Zaborowski

IV miejsce nr. kat. 40. Mistor 81 pkt, wymiary 165-218-27 hodowca Tomasz Grunwald
Gratulujemy hodowcom oraz życzymy dalszych sukcesów hodowlanych!
Tagi: Konie Zimnokrwiste